Especialista en Contratación Pública
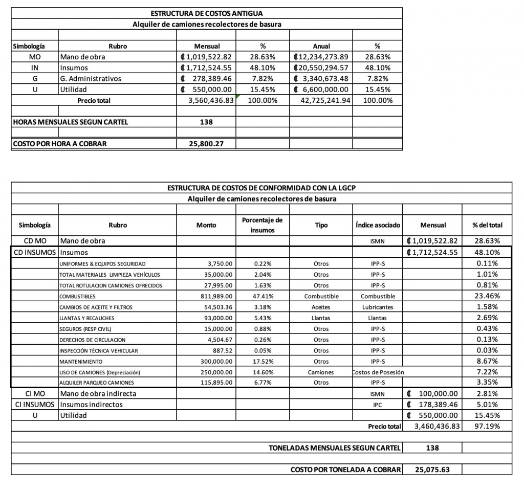
Cuál sería la diferencia entre la típica estructura del precio que siempre se ha utilizado, con respecto a la estructura del precio de conformidad con la Ley General de Contratación Pública.
Adjunto un par de cuadros para mostrar que ahora deben ser más completas y haciendo referencia a los índices de precios con los que se pretendería reajustar el precio del contrato.
La estructura la debe proponer la Administración, para ello debería como parte del estudio de mercado identificar cuál es la estructura del precio más adecuada al bien, servicio u obra que pretende contratar.
Los índices los debe proponer el oferente y deben estar asociados a índices oficial de Costa Rica o del país de origen.

